Официальное опубликование правовых актов
ОФИЦИАЛЬНОЕ ОПУБЛИКОВАНИЕ
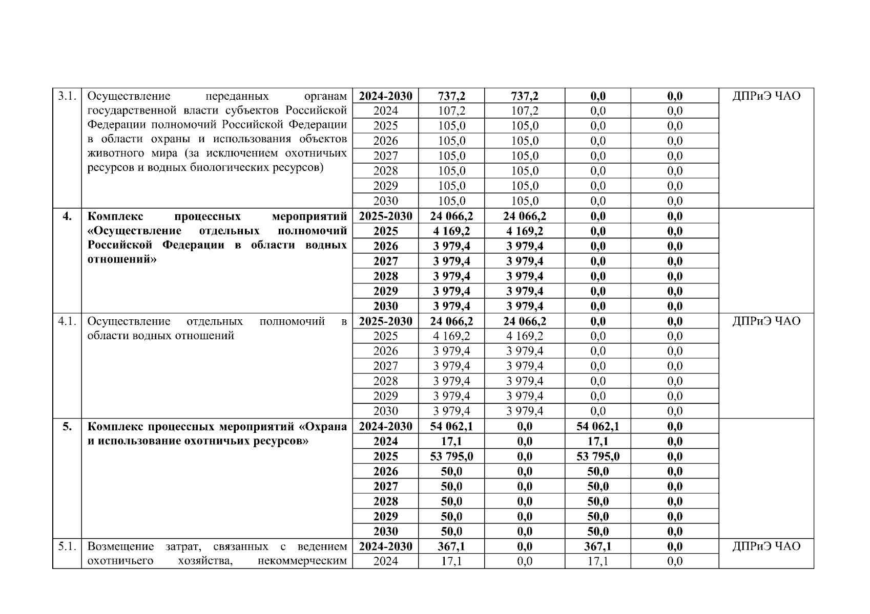
Постановление Правительства Чукотского автономного округа от 26.05.2025 № 310
"О внесении изменения в Постановление Правительства Чукотского автономного округа от 29 декабря 2023 года № 526"
Номер опубликования: 8700202505270012
Дата опубликования: 27.05.2025
Страница №4 из 11:
Увеличить