Официальное опубликование правовых актов
ОФИЦИАЛЬНОЕ ОПУБЛИКОВАНИЕ
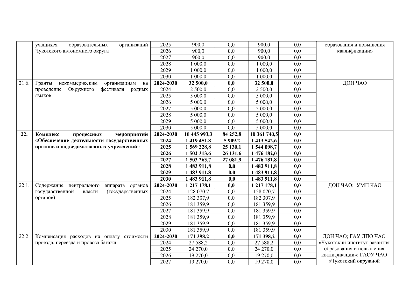
Постановление Правительства Чукотского автономного округа от 28.03.2025 № 185
"О внесении изменений в Постановление Правительства Чукотского автономного округа от 29 декабря 2023 года № 536"
Номер опубликования: 8700202504010006
Дата опубликования: 01.04.2025
Страница №25 из 28:
Увеличить