Официальное опубликование правовых актов
ОФИЦИАЛЬНОЕ ОПУБЛИКОВАНИЕ
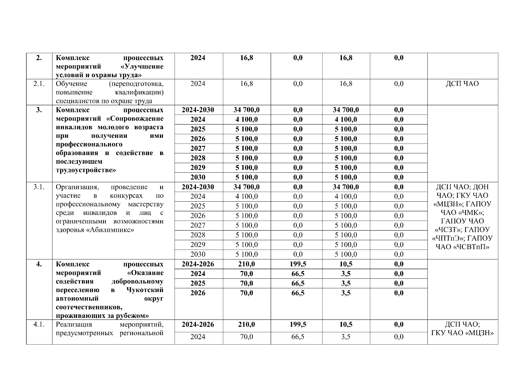
Постановление Правительства Чукотского автономного округа от 17.03.2025 № 153
"О внесении изменения в Постановление Правительства Чукотского автономного округа от 29 декабря 2023 года № 523"
Номер опубликования: 8700202503180002
Дата опубликования: 18.03.2025
Страница №6 из 8:
Увеличить