Официальное опубликование правовых актов
ОФИЦИАЛЬНОЕ ОПУБЛИКОВАНИЕ
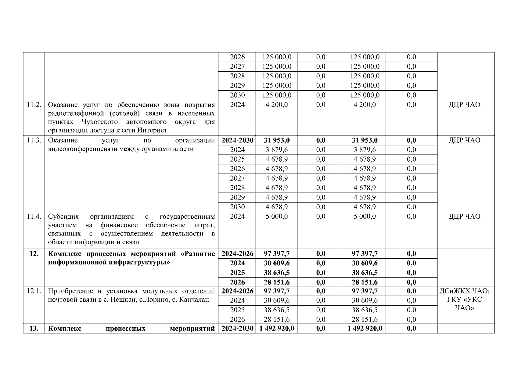
Постановление Правительства Чукотского автономного округа от 10.02.2025 № 47
"О внесении изменения в Постановление Правительства Чукотского автономного округа от 26 апреля 2024 года № 163"
Номер опубликования: 8700202502110010
Дата опубликования: 11.02.2025
Страница №7 из 9:
Увеличить