Официальное опубликование правовых актов
ОФИЦИАЛЬНОЕ ОПУБЛИКОВАНИЕ
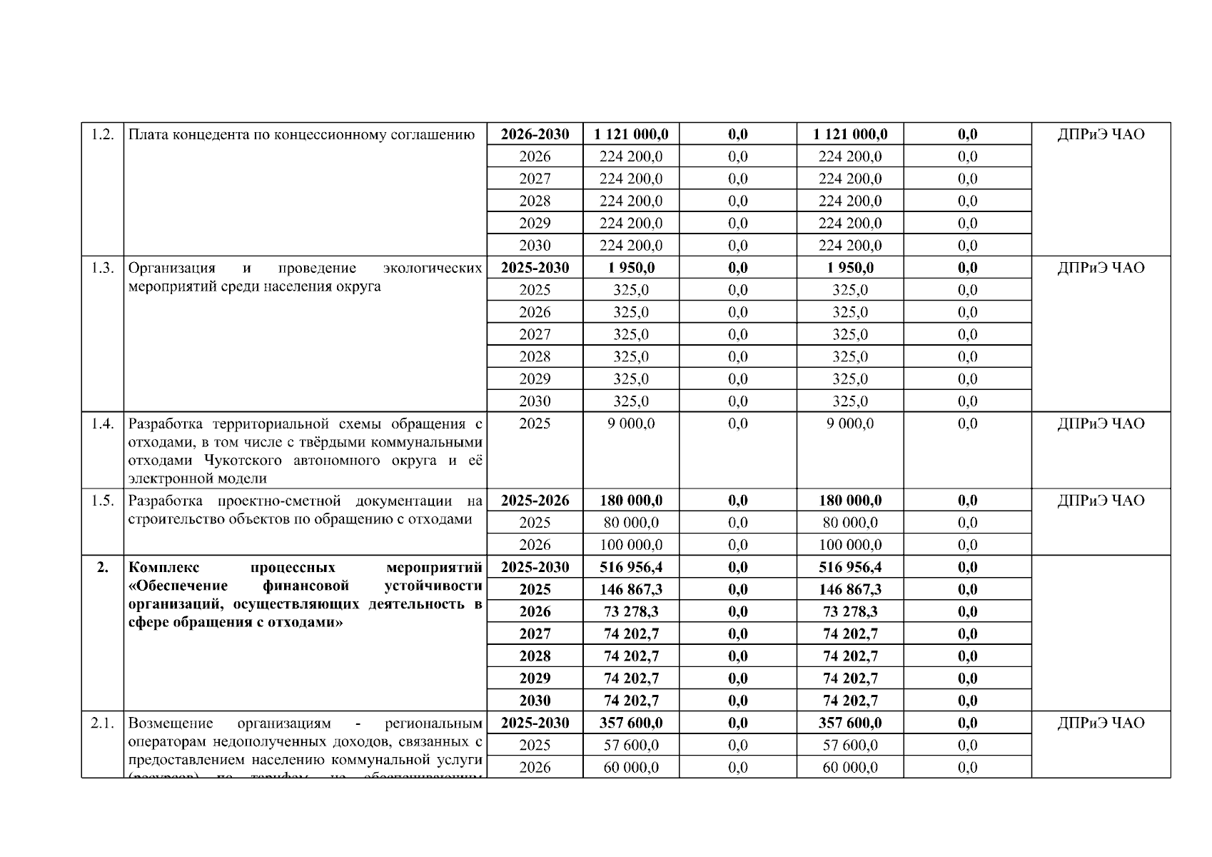
Постановление Правительства Чукотского автономного округа от 17.01.2025 № 13
"Об утверждении перечня расходных обязательств Государственной программы "Развитие системы обращения с отходами в Чукотском автономном округе"
Номер опубликования: 8700202501170004
Дата опубликования: 17.01.2025
Страница №3 из 5:
Увеличить