Официальное опубликование правовых актов
ОФИЦИАЛЬНОЕ ОПУБЛИКОВАНИЕ
Постановление Правительства Чукотского автономного округа от 29.11.2024 № 448
"О внесении изменений в Постановление Правительства Чукотского автономного округа от 29 декабря 2023 года № 547"
Номер опубликования: 8700202412020024
Дата опубликования: 02.12.2024
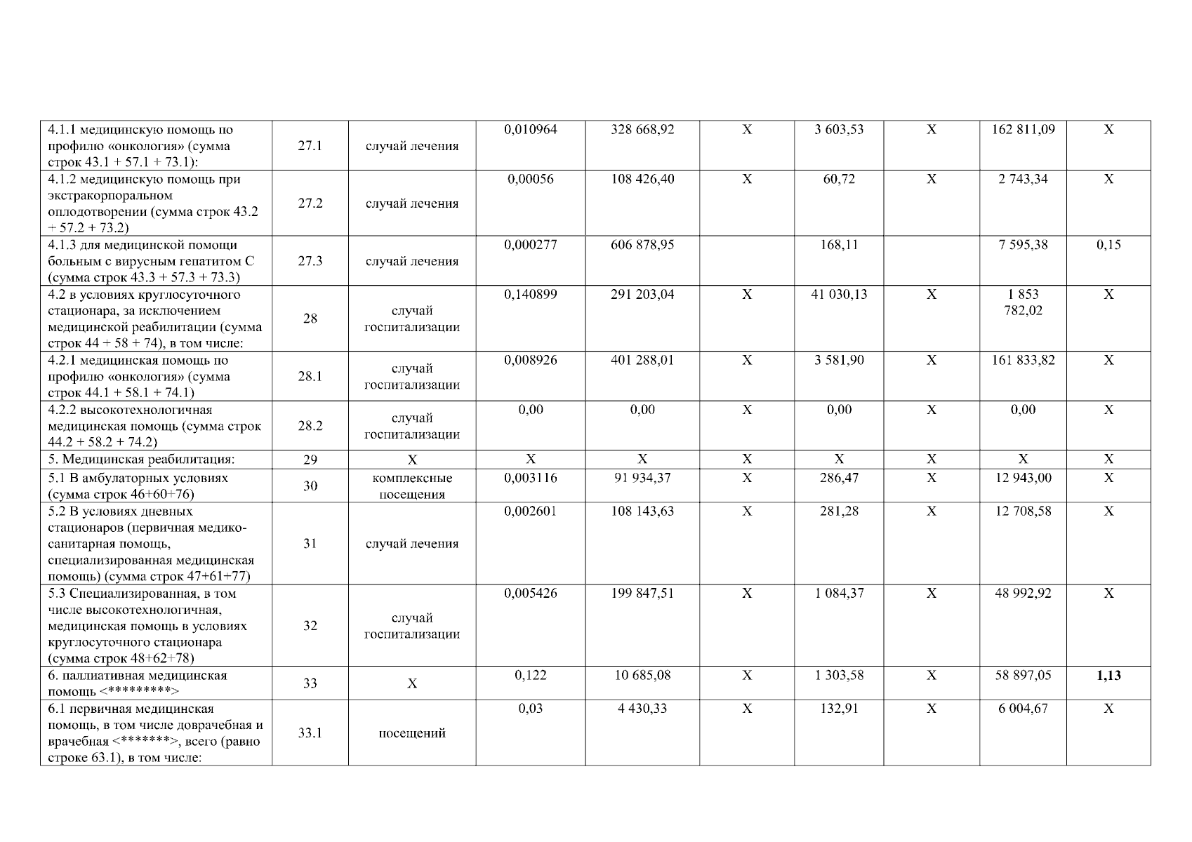
Страница №19 из 51:
Увеличить