Официальное опубликование правовых актов
ОФИЦИАЛЬНОЕ ОПУБЛИКОВАНИЕ
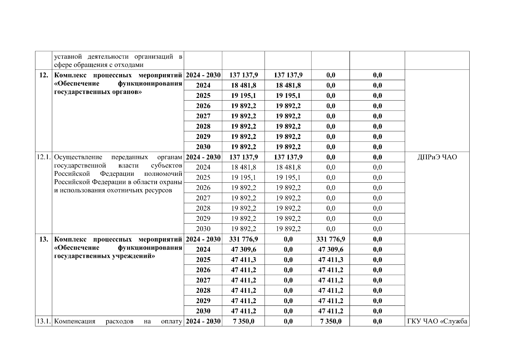
Постановление Правительства Чукотского автономного округа от 25.11.2024 № 421
"О внесении изменений в Постановление Правительства Чукотского автономного округа от 29 декабря 2023 года № 526"
Номер опубликования: 8700202411260015
Дата опубликования: 26.11.2024
Страница №9 из 12:
Увеличить