Официальное опубликование правовых актов
ОФИЦИАЛЬНОЕ ОПУБЛИКОВАНИЕ
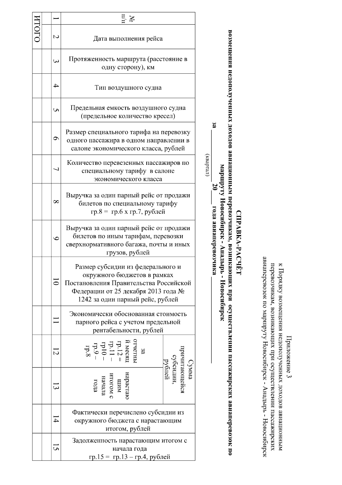
Постановление Правительства Чукотского автономного округа от 12.07.2024 № 226
"Об утверждении Порядка возмещения недополученных доходов авиационным перевозчикам, возникающих при осуществлении пассажирских авиаперевозок по маршруту Новосибирск - Анадырь - Новосибирск"
Номер опубликования: 8700202407160005
Дата опубликования: 16.07.2024
Страница №21 из 22:
Увеличить