Официальное опубликование правовых актов
ОФИЦИАЛЬНОЕ ОПУБЛИКОВАНИЕ
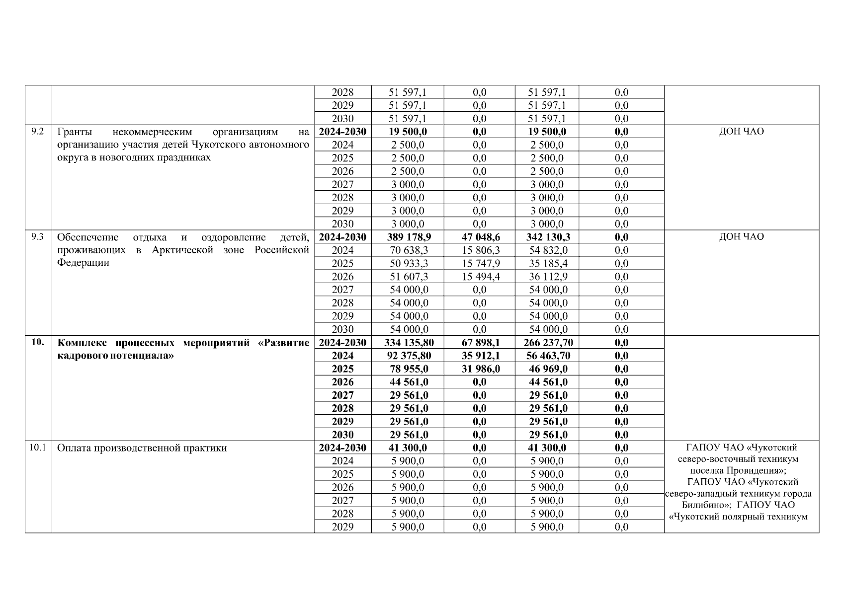
Постановление Правительства Чукотского автономного округа от 20.05.2024 № 173
"О внесении изменения в Приложение к Постановлению Правительства Чукотского автономного округа от 29 декабря 2023 года № 536"
Номер опубликования: 8700202405220002
Дата опубликования: 22.05.2024
Страница №13 из 23:
Увеличить