Официальное опубликование правовых актов
ОФИЦИАЛЬНОЕ ОПУБЛИКОВАНИЕ
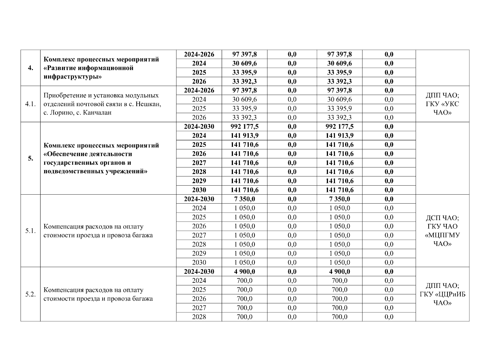
Постановление Правительства Чукотского автономного округа от 26.04.2024 № 163
"Об утверждении Перечня расходных обязательств Государственной программы "Информационное общество Чукотского автономного округа"
Номер опубликования: 8700202404270005
Дата опубликования: 27.04.2024
Страница №6 из 8:
Увеличить