Официальное опубликование правовых актов
ОФИЦИАЛЬНОЕ ОПУБЛИКОВАНИЕ
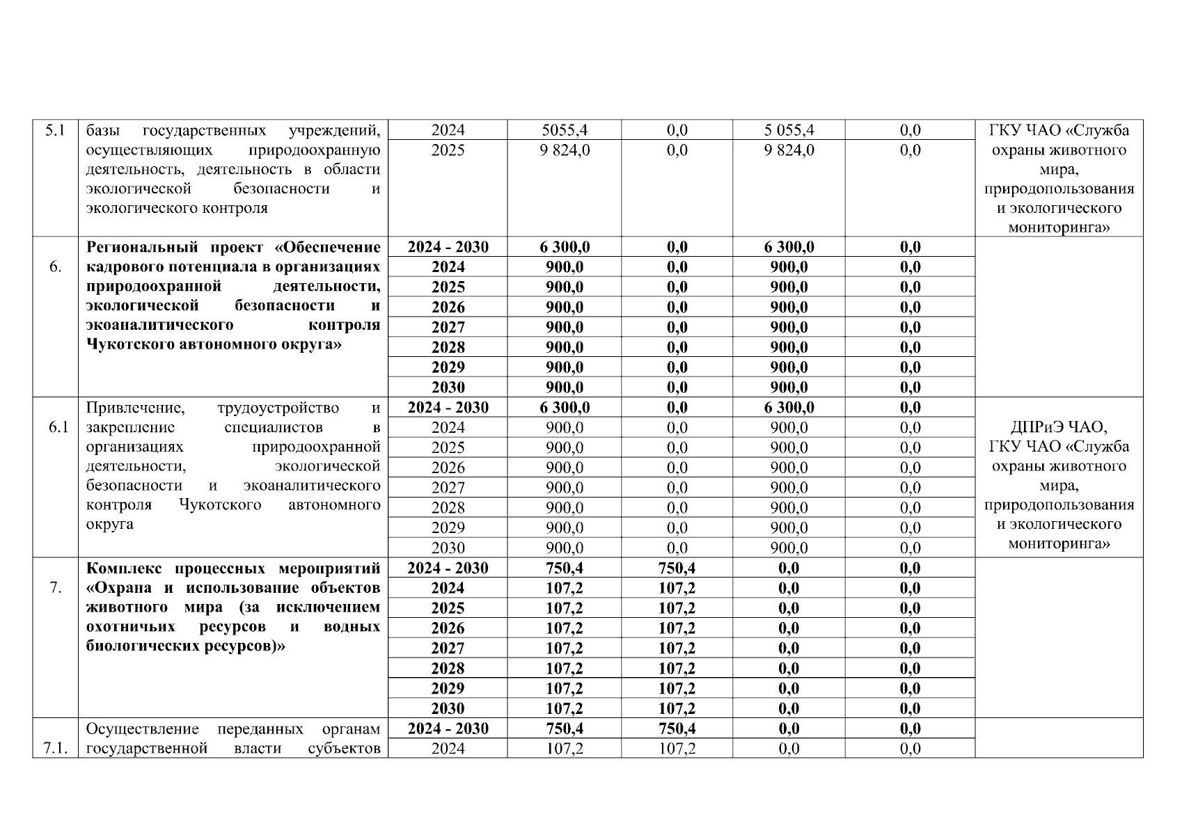
Постановление Правительства Чукотского автономного округа от 22.03.2024 № 107
"О внесении изменения в Постановление Правительства Чукотского автономного округа от 29 декабря 2023 года № 526"
Номер опубликования: 8700202403260007
Дата опубликования: 26.03.2024
Страница №5 из 10:
Увеличить