Официальное опубликование правовых актов
ОФИЦИАЛЬНОЕ ОПУБЛИКОВАНИЕ
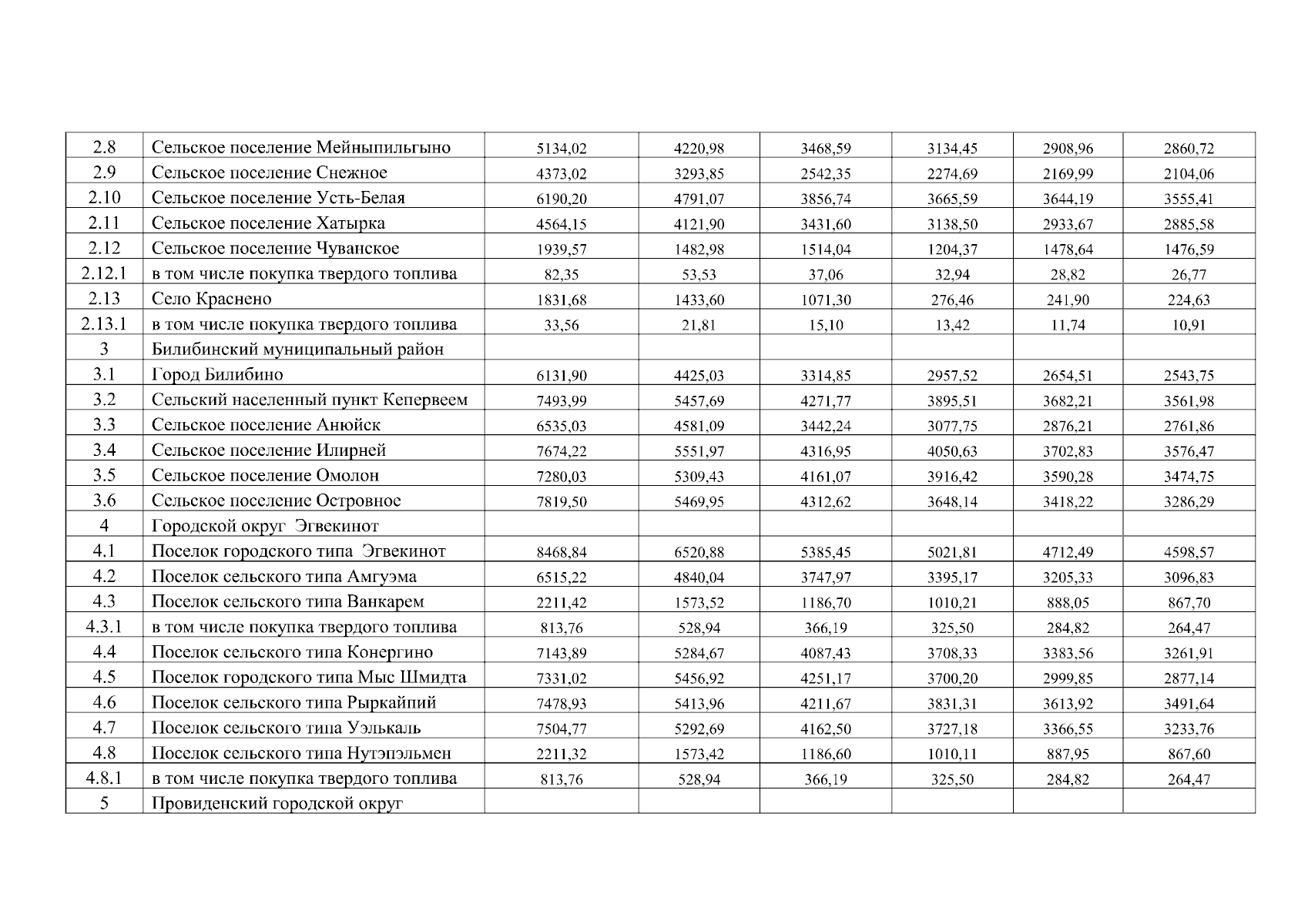
Постановление Правительства Чукотского автономного округа от 22.03.2024 № 105
"Об установлении региональных стандартов стоимости жилищно-коммунальных услуг, используемых для расчёта субсидий на оплату жилого помещения и коммунальных услуг в 2024 году"
Номер опубликования: 8700202403260005
Дата опубликования: 26.03.2024
Страница №10 из 21:
Увеличить