Официальное опубликование правовых актов
ОФИЦИАЛЬНОЕ ОПУБЛИКОВАНИЕ
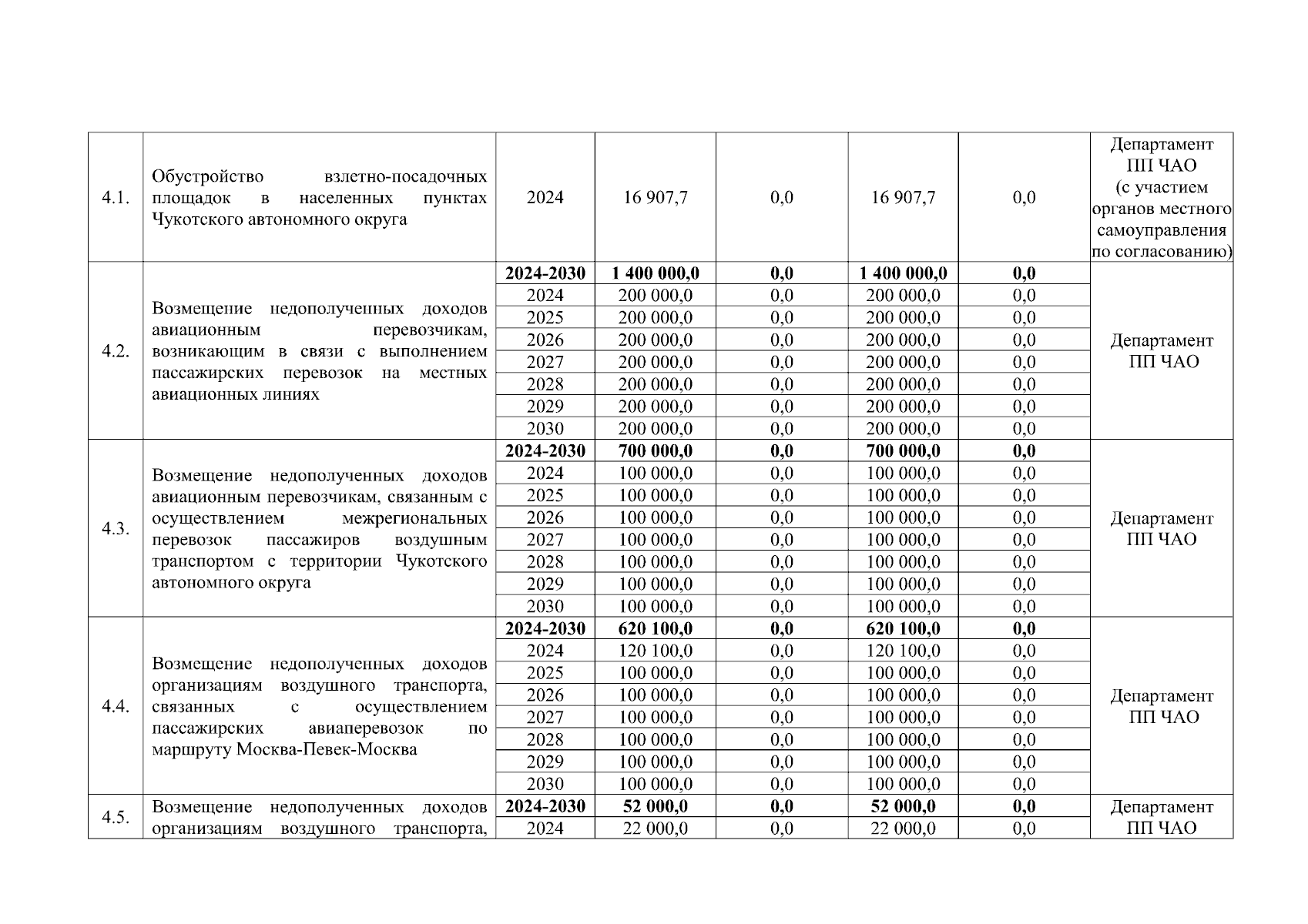
Постановление Правительства Чукотского автономного округа от 05.03.2024 № 83
"О внесении изменения в Постановление Правительства Чукотского автономного округа от 29 декабря 2023 года № 550"
Номер опубликования: 8700202403060006
Дата опубликования: 06.03.2024
Страница №5 из 10:
Увеличить