Официальное опубликование правовых актов
ОФИЦИАЛЬНОЕ ОПУБЛИКОВАНИЕ
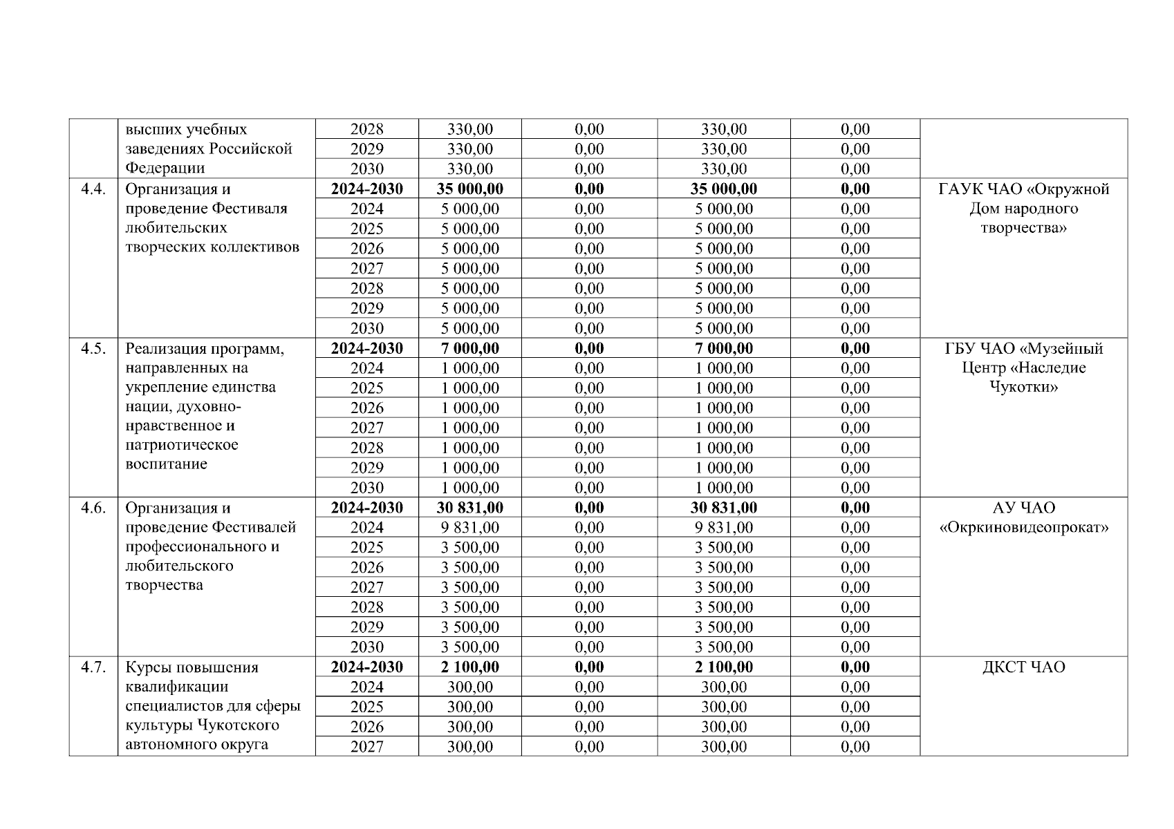
Постановление Правительства Чукотского автономного округа от 29.12.2023 № 531
"Об утверждении перечня расходных обязательств Государственной программы "Развитие культуры, спорта и туризма Чукотского автономного округа"
Номер опубликования: 8700202401030008
Дата опубликования: 03.01.2024
Страница №6 из 24:
Увеличить