Официальное опубликование правовых актов
ОФИЦИАЛЬНОЕ ОПУБЛИКОВАНИЕ
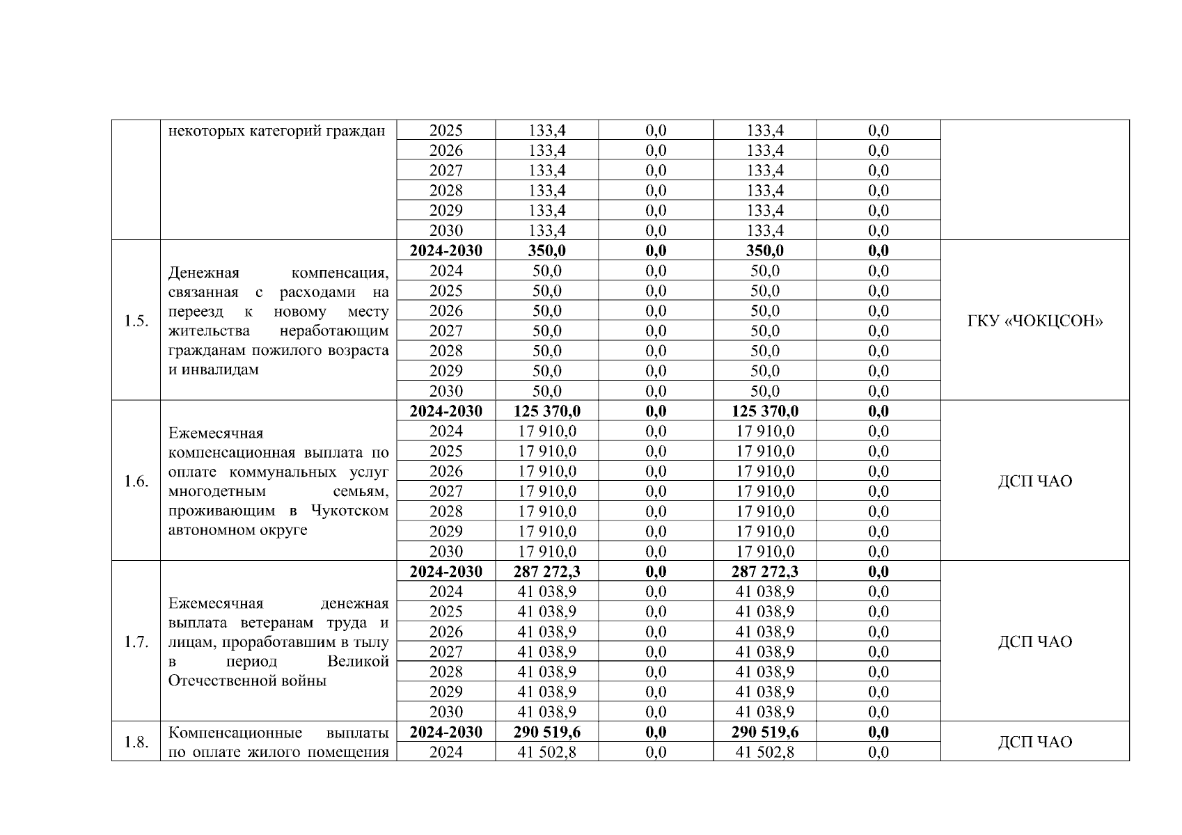
Постановление Правительства Чукотского автономного округа от 29.12.2023 № 543
"Об утверждении перечня расходных обязательств Государственной программы "Социальная поддержка населения Чукотского автономного округа"
Номер опубликования: 8700202312310004
Дата опубликования: 31.12.2023
Страница №7 из 22:
Увеличить