Официальное опубликование правовых актов
ОФИЦИАЛЬНОЕ ОПУБЛИКОВАНИЕ
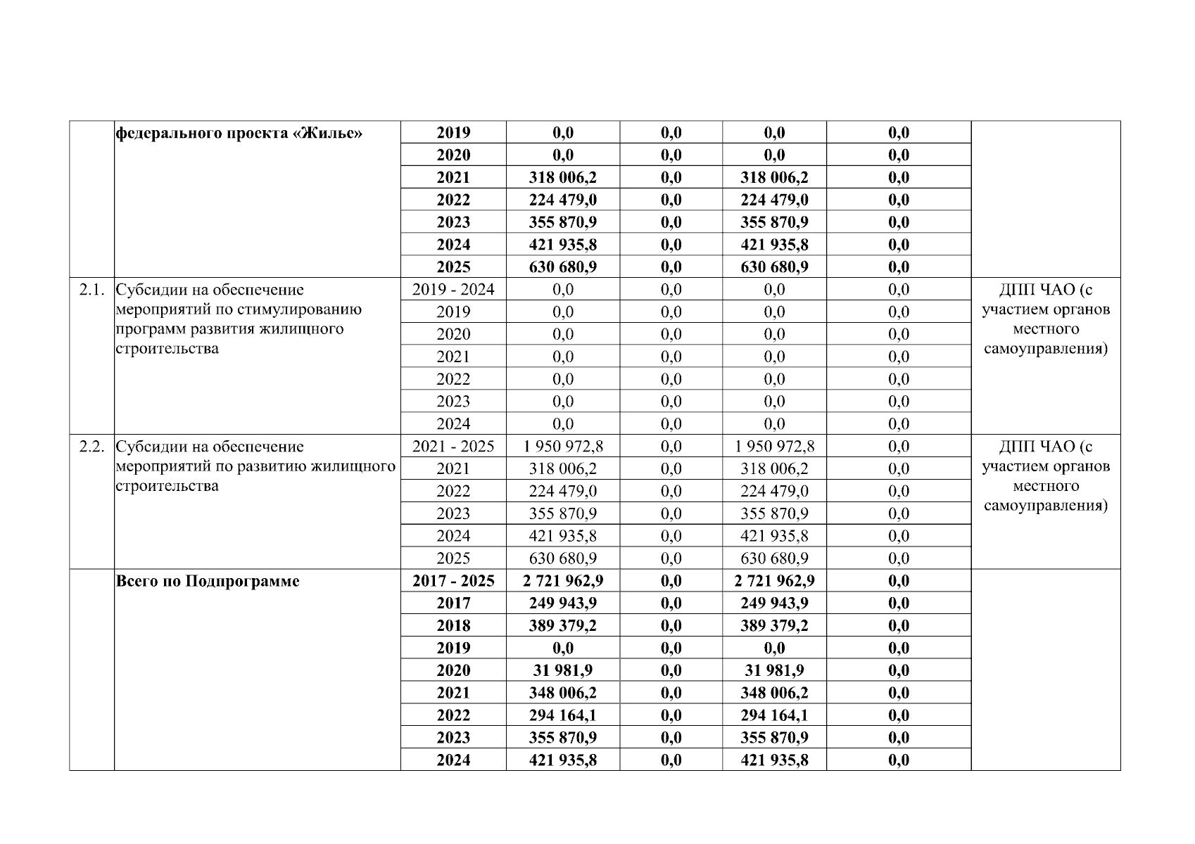
Постановление Правительства Чукотского автономного округа от 11.12.2023 № 450
"О внесении изменений в Постановление Правительства Чукотского автономного округа от 16 августа 2017 года № 316"
Номер опубликования: 8700202312120009
Дата опубликования: 12.12.2023
Страница №7 из 13:
Увеличить