Официальное опубликование правовых актов
ОФИЦИАЛЬНОЕ ОПУБЛИКОВАНИЕ
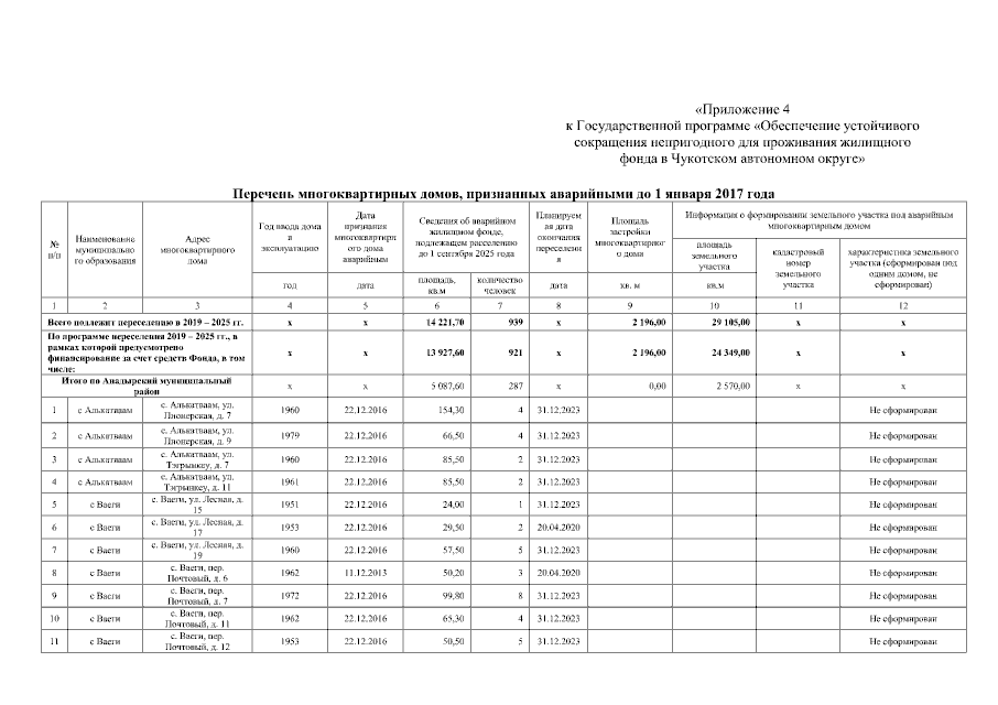
Постановление Правительства Чукотского автономного округа от 08.06.2023 № 249
"О внесении изменений в Постановление Правительства Чукотского автономного округа от 29 марта 2019 года № 170"
Номер опубликования: 8700202306130002
Дата опубликования: 13.06.2023
Страница №7 из 17:
Увеличить