Официальное опубликование правовых актов
ОФИЦИАЛЬНОЕ ОПУБЛИКОВАНИЕ
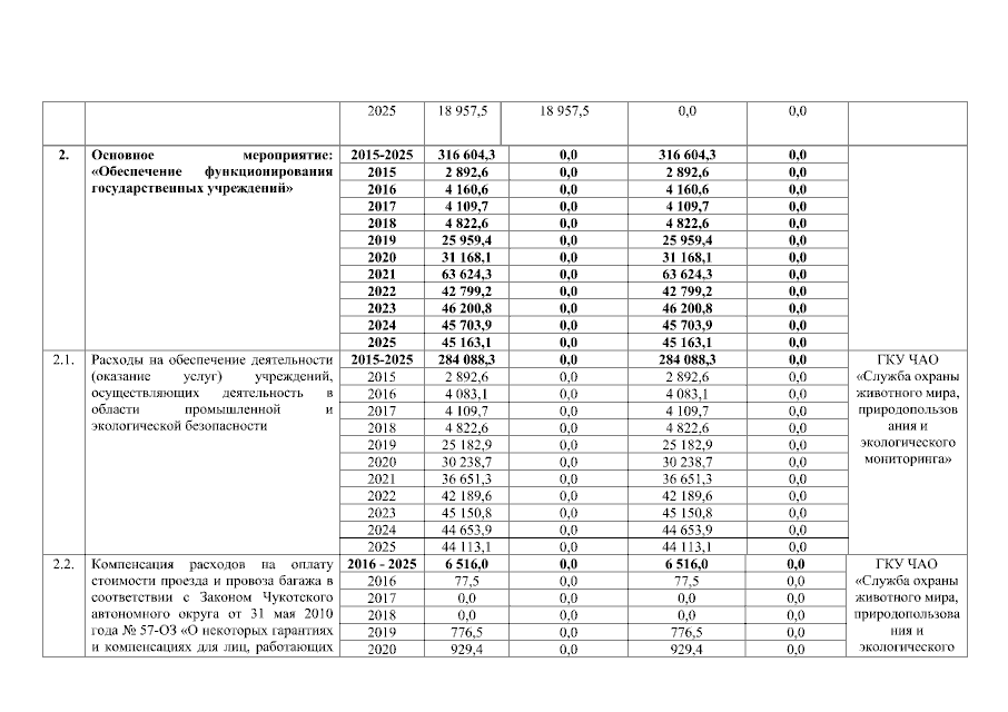
Постановление Правительства Чукотского автономного округа от 06.06.2023 № 244
"О внесении изменений в Постановление Правительства Чукотского автономного округа от 15 января 2015 года № 20"
Номер опубликования: 8700202306070001
Дата опубликования: 07.06.2023
Страница №37 из 40:
Увеличить