Официальное опубликование правовых актов
ОФИЦИАЛЬНОЕ ОПУБЛИКОВАНИЕ
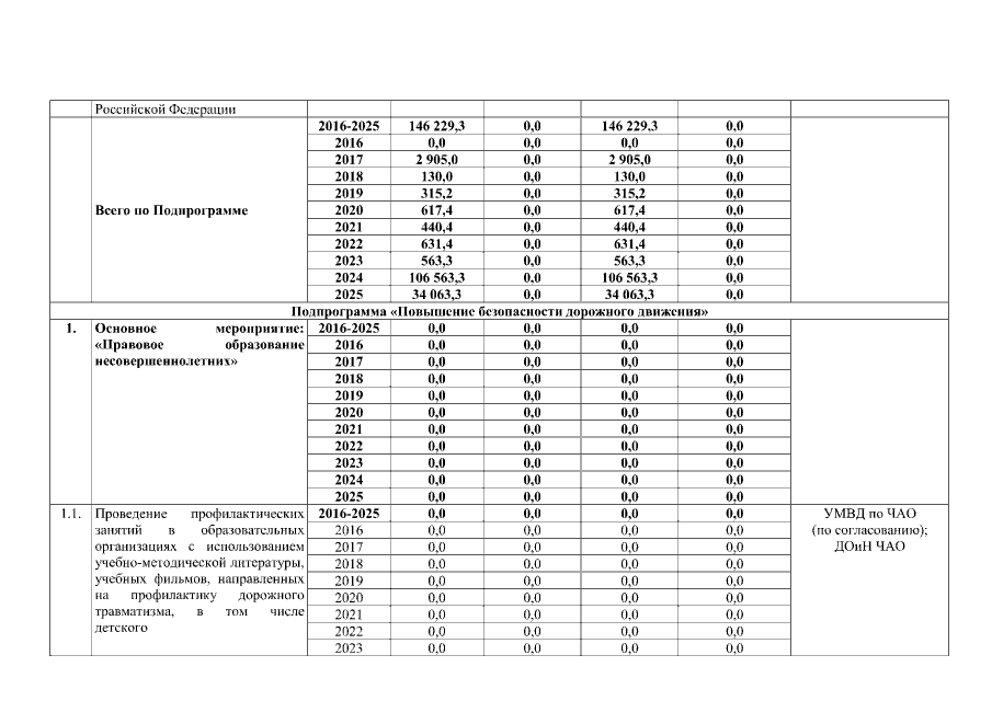
Постановление Правительства Чукотского автономного округа от 06.04.2023 № 176
"О внесении изменений в Постановление Правительства Чукотского автономного округа от 29 июля 2016 года № 417"
Номер опубликования: 8700202304070006
Дата опубликования: 07.04.2023
Страница №12 из 17:
Увеличить