Официальное опубликование правовых актов
ОФИЦИАЛЬНОЕ ОПУБЛИКОВАНИЕ
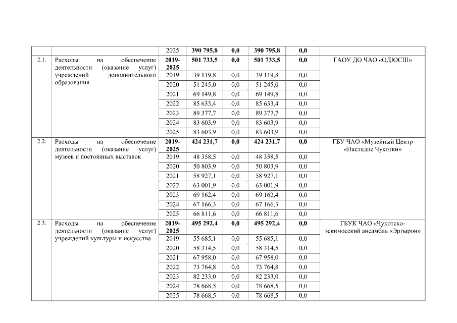
Постановление Правительства Чукотского автономного округа от 07.02.2023 № 82
"О внесении изменений в Постановление Правительства Чукотского автономного округа от 24 апреля 2019 года № 229"
Номер опубликования: 8700202302080005
Дата опубликования: 08.02.2023
Страница №72 из 75:
Увеличить