Официальное опубликование правовых актов
ОФИЦИАЛЬНОЕ ОПУБЛИКОВАНИЕ
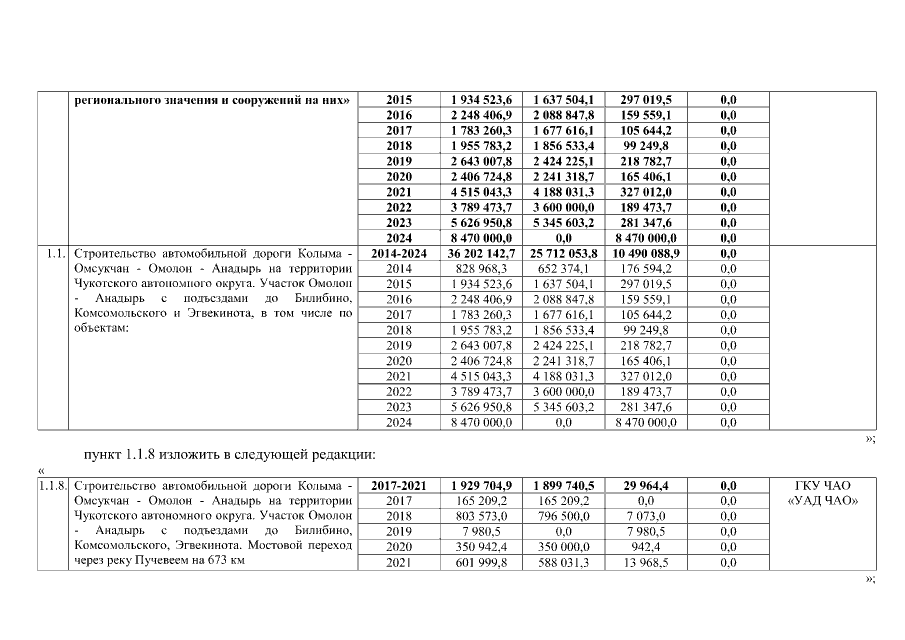
Постановление Правительства Чукотского автономного округа от 03.03.2022 № 90
"О внесении изменений в Постановление Правительства Чукотского автономного округа от 21 октября 2013 года № 405"
Номер опубликования: 8700202203040001
Дата опубликования: 04.03.2022
Страница №10 из 20:
Увеличить