Официальное опубликование правовых актов
ОФИЦИАЛЬНОЕ ОПУБЛИКОВАНИЕ
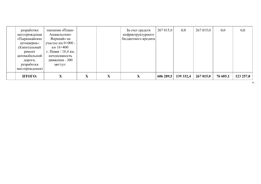
Постановление Правительства Чукотского автономного округа от 11.01.2022 № 2
"О внесении изменения в Постановление Правительства Чукотского автономного от 25 ноября 2021 года № 480"
Номер опубликования: 8700202201110001
Дата опубликования: 11.01.2022
Страница №3 из 3:
Увеличить