Официальное опубликование правовых актов
ОФИЦИАЛЬНОЕ ОПУБЛИКОВАНИЕ
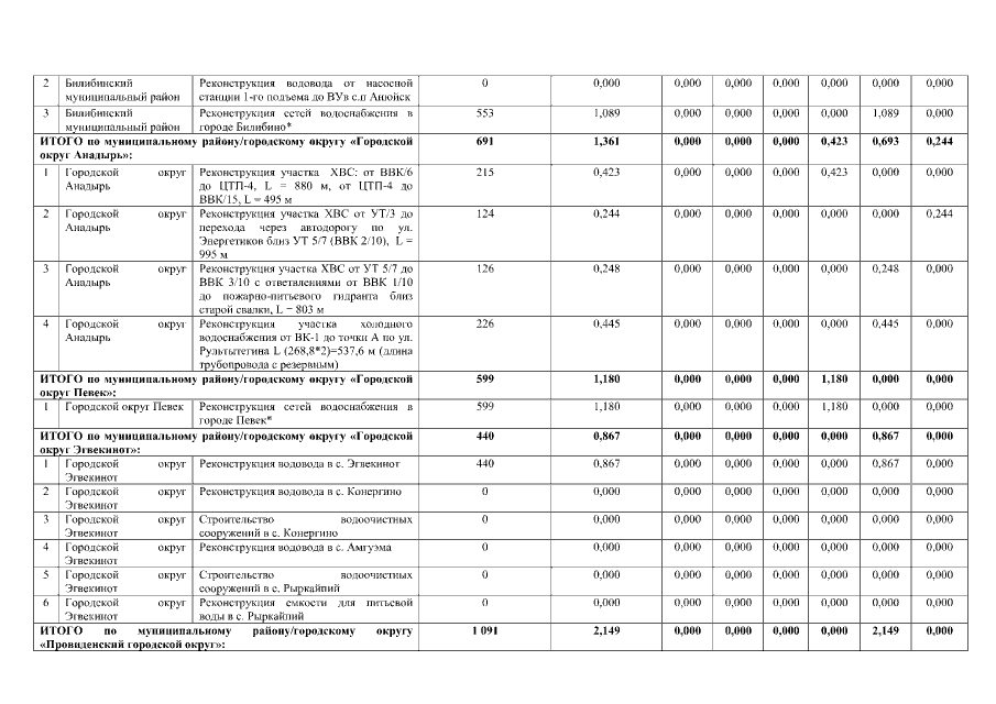
Постановление Правительства Чукотского автономного округа от 28.09.2021 № 378
"О внесении изменений в Постановление Правительства Чукотского автономного округа от 29 февраля 2016 года № 92"
Номер опубликования: 8700202109300003
Дата опубликования: 30.09.2021
Страница №31 из 40:
Увеличить