Официальное опубликование правовых актов
ОФИЦИАЛЬНОЕ ОПУБЛИКОВАНИЕ
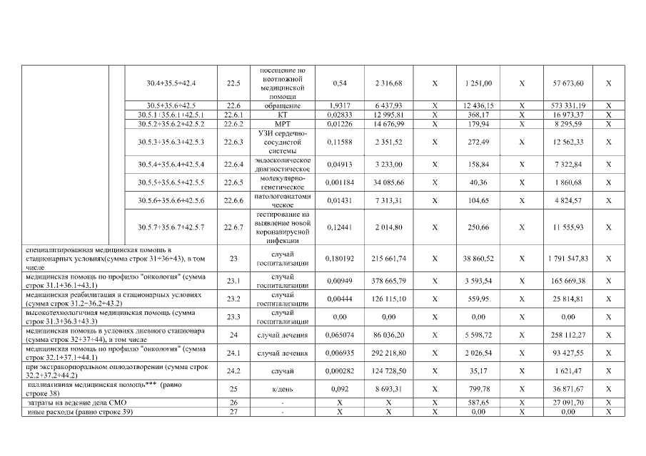
Постановление Правительства Чукотского автономного округа от 07.06.2021 № 232
"О внесении изменений в Постановление Правительства Чукотского автономного округа от 11 января 2021 года № 1"
Номер опубликования: 8700202106080007
Дата опубликования: 08.06.2021
Страница №30 из 48:
Увеличить