Официальное опубликование правовых актов
ОФИЦИАЛЬНОЕ ОПУБЛИКОВАНИЕ
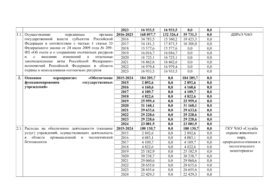
Постановление Правительства Чукотского автономного округа от 24.05.2021 № 162
"О внесении изменений в Постановление Правительства Чукотского автономного округа от 15 января 2015 года № 20"
Номер опубликования: 8700202105270004
Дата опубликования: 27.05.2021
Страница №23 из 26:
Увеличить