Официальное опубликование правовых актов
ОФИЦИАЛЬНОЕ ОПУБЛИКОВАНИЕ
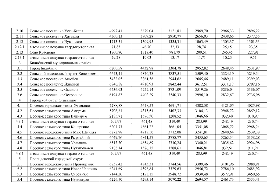
Постановление Правительства Чукотского автономного округа от 29.03.2021 № 79
"Об установлении региональных стандартов стоимости жилищно-коммунальных услуг, используемых для расчёта субсидий на оплату жилого помещения и коммунальных услуг в 2021 году"
Номер опубликования: 8700202104010009
Дата опубликования: 01.04.2021
Страница №4 из 20:
Увеличить