Официальное опубликование правовых актов
ОФИЦИАЛЬНОЕ ОПУБЛИКОВАНИЕ
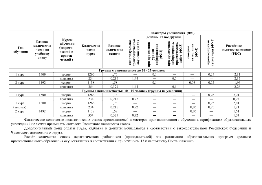
Постановление Правительства Чукотского автономного округа от 09.03.2021 № 50
"Об утверждении методик формирования модельных штатных расписаний и количества ставок педагогических работников для расчёта фонда оплаты труда образовательных учреждений Чукотского автономного округа, входящих в Чукотский (надмуниципальный) образовательный округ, на 2021 год и на плановый период 2022 и 2023 годов"
Номер опубликования: 8700202103100001
Дата опубликования: 10.03.2021
Страница №74 из 88:
Увеличить