Официальное опубликование правовых актов
ОФИЦИАЛЬНОЕ ОПУБЛИКОВАНИЕ
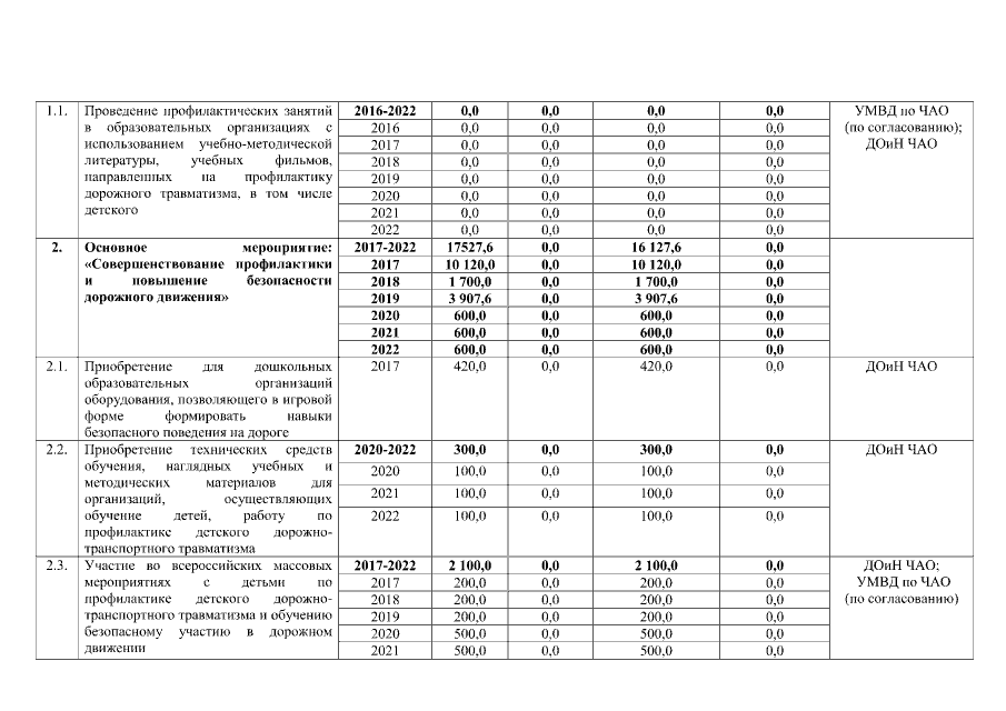
Постановление Правительства Чукотского автономного округа от 01.04.2020 № 138
"О внесении изменений в Постановление Правительства Чукотского автономного округа от 29 июля 2016 года № 417"
Номер опубликования: 8700202004060021
Дата опубликования: 06.04.2020
Страница №11 из 14:
Увеличить