Официальное опубликование правовых актов
ОФИЦИАЛЬНОЕ ОПУБЛИКОВАНИЕ
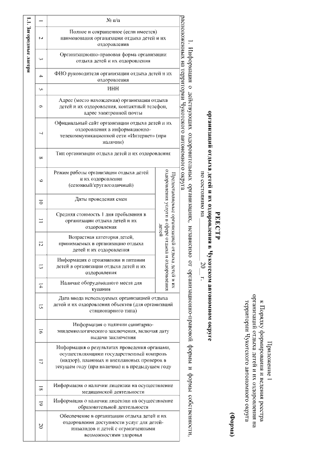
Постановление Правительства Чукотского автономного округа от 01.04.2020 № 137
"Об утверждении Порядка формирования и ведения реестра организаций отдыха детей и их оздоровления на территории Чукотского автономного округа"
Номер опубликования: 8700202004060019
Дата опубликования: 06.04.2020
Страница №7 из 12:
Увеличить