Официальное опубликование правовых актов
ОФИЦИАЛЬНОЕ ОПУБЛИКОВАНИЕ
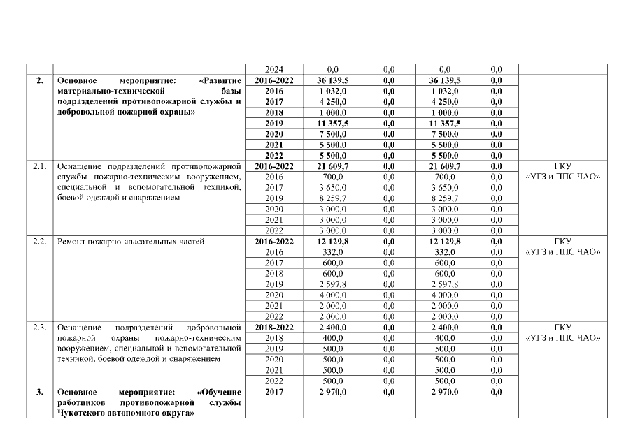
Постановление Правительства Чукотского автономного округа от 30.01.2020 № 40
"О внесении изменений в Постановление Правительства Чукотского автономного округа от 21 октября 2014 года № 493"
Номер опубликования: 8700202001300001
Дата опубликования: 30.01.2020
Страница №10 из 14:
Увеличить