Официальное опубликование правовых актов
ОФИЦИАЛЬНОЕ ОПУБЛИКОВАНИЕ
Постановление Правительства Чукотского автономного округа от 19.12.2019 № 582
"О внесении изменений в Постановление Правительства Чукотского автономного округа от 8 апреля 2019 года № 192"
Номер опубликования: 8700201912260015
Дата опубликования: 26.12.2019
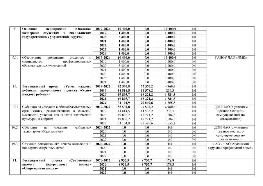
Страница №25 из 41:
Увеличить