Официальное опубликование правовых актов
ОФИЦИАЛЬНОЕ ОПУБЛИКОВАНИЕ
Постановление Правительства Чукотского автономного округа от 24.01.2019 № 28
"О внесении изменений в Постановление Правительства Чукотского автономного округа от 29 декабря 2015 года № 658"
Номер опубликования: 8700201901280006
Дата опубликования: 28.01.2019
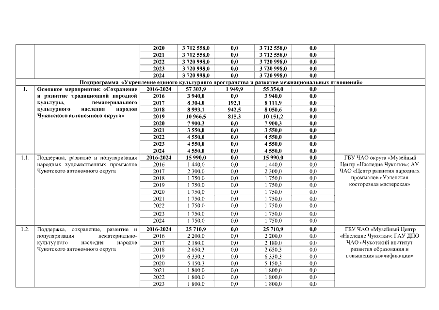
Страница №47 из 82:
Увеличить