Официальное опубликование правовых актов
ОФИЦИАЛЬНОЕ ОПУБЛИКОВАНИЕ
Постановление Правительства Чукотского автономного округа от 11.12.2018 № 395
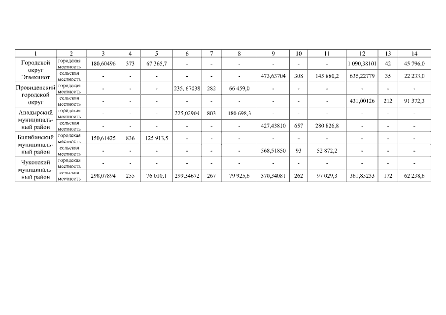
"Об установлении нормативов финансового обеспечения государственных гарантий реализации прав на получение общедоступного и бесплатного дошкольного образования в муниципальных дошкольных образовательных организациях, общедоступного и бесплатного дошкольного, начального общего, основного общего, среднего общего образования в муниципальных общеобразовательных организациях, а также дополнительного образования детей в муниципальных образовательных организациях, входящих в Чукотский (надмуниципальный) образовательный округ, на 2019 год и на плановый период 2020 и 2021 годов"
Номер опубликования: 8700201812170004
Дата опубликования: 17.12.2018
Страница №4 из 8:
Увеличить