Официальное опубликование правовых актов
ОФИЦИАЛЬНОЕ ОПУБЛИКОВАНИЕ
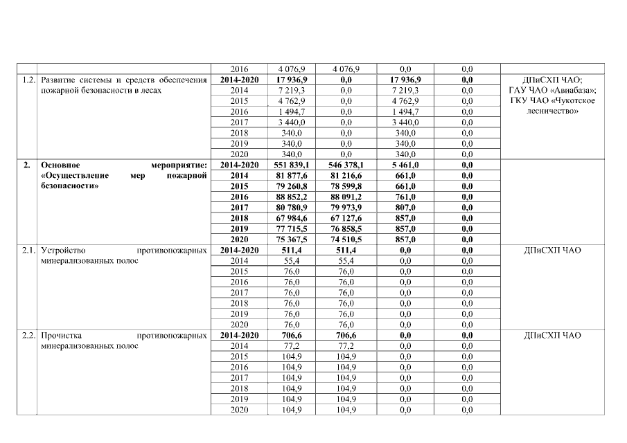
Постановление Правительства Чукотского автономного округа от 14.11.2018 № 360
"О внесении изменений в Постановление Правительства Чукотского автономного округа от 21 октября 2013 года № 409"
Номер опубликования: 8700201811160002
Дата опубликования: 16.11.2018
Страница №6 из 12:
Увеличить