Официальное опубликование правовых актов
ОФИЦИАЛЬНОЕ ОПУБЛИКОВАНИЕ
Постановление Правительства Чукотского автономного округа от 09.10.2018 № 316
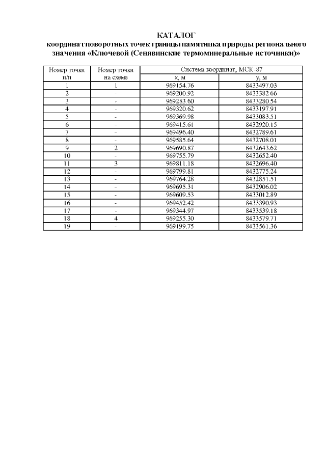
"Об утверждении Положения и Паспорта памятника природы регионального значения "Ключевой (Сенявинские термоминеральные источники)"
Номер опубликования: 8700201810150004
Дата опубликования: 15.10.2018
Страница №10 из 21:
Увеличить