Официальное опубликование правовых актов
ОФИЦИАЛЬНОЕ ОПУБЛИКОВАНИЕ
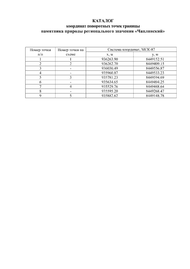
Постановление Правительства Чукотского автономного округа от 02.10.2018 № 304
"Об утверждении Положения и Паспорта памятника природы регионального значения "Чаплинский"
Номер опубликования: 8700201810080002
Дата опубликования: 08.10.2018
Страница №9 из 19:
Увеличить