Официальное опубликование правовых актов
ОФИЦИАЛЬНОЕ ОПУБЛИКОВАНИЕ
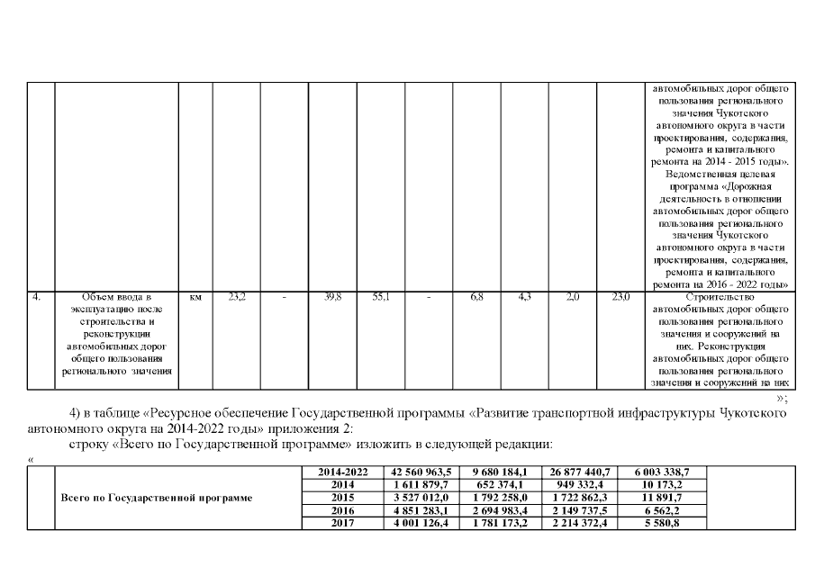
Постановление Правительства Чукотского автономного округа от 22.05.2017 № 188
"О внесении изменений в Постановление Правительства Чукотского автономного округа от 21 октября 2013 года № 405"
Номер опубликования: 8700201705240003
Дата опубликования: 24.05.2017
Страница №6 из 15:
Увеличить