Официальное опубликование правовых актов
ОФИЦИАЛЬНОЕ ОПУБЛИКОВАНИЕ
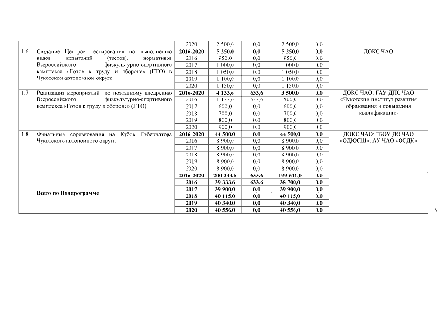
Постановление Правительства Чукотского автономного округа от 23.05.2016 № 269
"О внесении изменений в Постановление Правительства Чукотского автономного округа от 29 декабря 2015 года № 658"
Номер опубликования: 8700201605250003
Дата опубликования: 25.05.2016
Страница №19 из 20:
Увеличить