Официальное опубликование правовых актов
ОФИЦИАЛЬНОЕ ОПУБЛИКОВАНИЕ
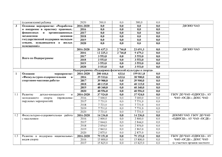
Постановление Правительства Чукотского автономного округа от 14.04.2016 № 183
"О внесении изменений в Постановление Правительства Чукотского автономного округа от 29 декабря 2015 года № 658"
Номер опубликования: 8700201604210014
Дата опубликования: 21.04.2016
Страница №27 из 55:
Увеличить