Официальное опубликование правовых актов
ОФИЦИАЛЬНОЕ ОПУБЛИКОВАНИЕ
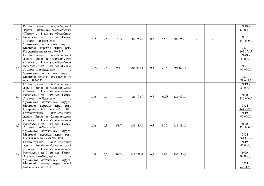
Постановление Правительства Чукотского автономного округа от 14.04.2016 № 187
"О внесении изменений Постановление Правительства Чукотского автономного округа от 21 октября 2013 года № 405"
Номер опубликования: 8700201604210013
Дата опубликования: 21.04.2016
Страница №26 из 43:
Увеличить