Официальное опубликование правовых актов
ОФИЦИАЛЬНОЕ ОПУБЛИКОВАНИЕ
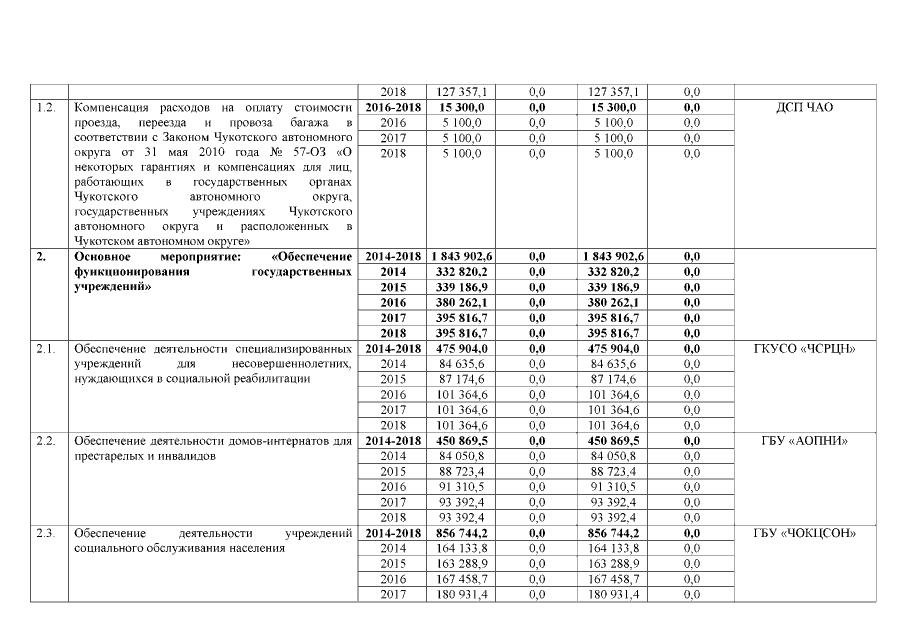
Постановление Правительства Чукотского автономного округа от 14.04.2016 № 181
"О внесении изменений в Постановление Правительства Чукотского автономного округа от 21 октября 2013 года № 404"
Номер опубликования: 8700201604190001
Дата опубликования: 19.04.2016
Страница №24 из 26:
Увеличить