Официальное опубликование правовых актов
ОФИЦИАЛЬНОЕ ОПУБЛИКОВАНИЕ
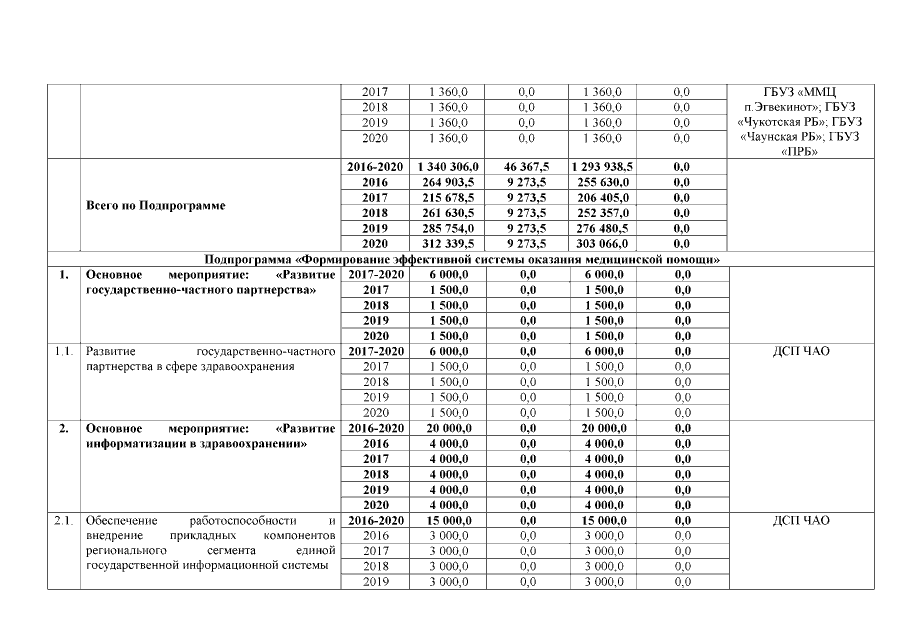
Постановление Правительства Чукотского автономного округа от 30.03.2016 № 151
"Об утверждении Государственной программы "Развитие здравоохранения Чукотского автономного округа на 2016-2020 годы"
Номер опубликования: 8700201604060002
Дата опубликования: 06.04.2016
Страница №50 из 59:
Увеличить