Официальное опубликование правовых актов
ОФИЦИАЛЬНОЕ ОПУБЛИКОВАНИЕ
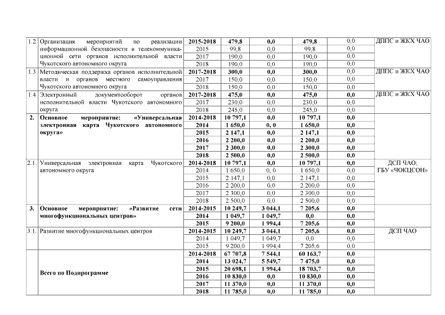
Постановление Правительства Чукотского автономного округа от 09.02.2016 № 57
"О внесении изменения в Постановление Правительства Чукотского автономного округа от 21 октября 2013 года № 402"
Номер опубликования: 8700201602120001
Дата опубликования: 12.02.2016
Страница №24 из 27:
Увеличить