Официальное опубликование правовых актов
ОФИЦИАЛЬНОЕ ОПУБЛИКОВАНИЕ
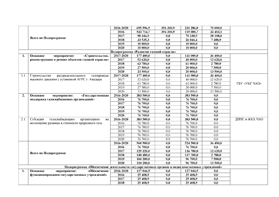
Постановление Правительства Чукотского автономного округа от 28.01.2016 № 41
"Об утверждении Государственной программы Чукотского автономного округа "Энергоэффективность и развитие энергетики Чукотского автономного округа на 2016-2020 годы"
Номер опубликования: 8700201602010006
Дата опубликования: 01.02.2016
Страница №23 из 24:
Увеличить