Официальное опубликование правовых актов
ОФИЦИАЛЬНОЕ ОПУБЛИКОВАНИЕ
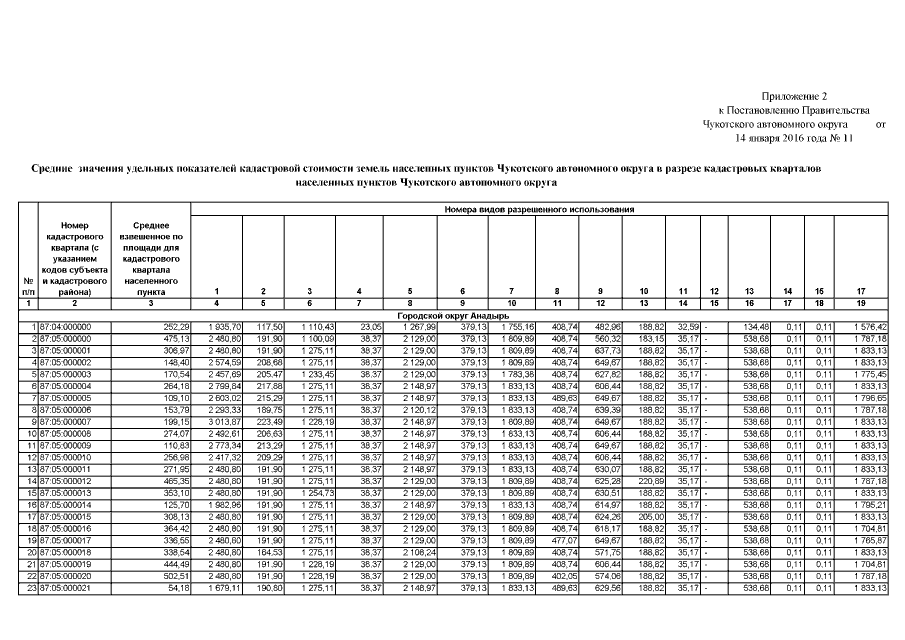
Постановление Правительства Чукотского автономного округа от 14.01.2016 № 11
"Об утверждении результатов определения кадастровой стоимости земельных участков в составе земель населённых пунктов Чукотского автономного округа"
Номер опубликования: 8700201601190001
Дата опубликования: 19.01.2016
Страница №139 из 145:
Увеличить