Официальное опубликование правовых актов
ОФИЦИАЛЬНОЕ ОПУБЛИКОВАНИЕ
Постановление Правительства Чукотского автономного округа от 29.12.2015 № 658
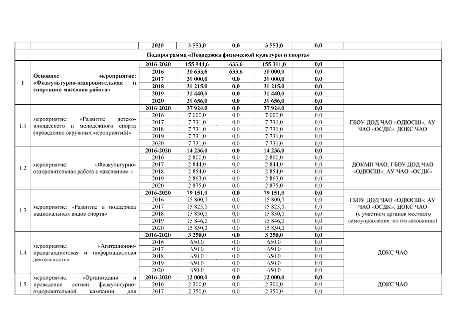
"Об утверждении Государственной программы "Развитие образования, культуры, спорта, туризма и молодёжной политики Чукотского автономного округа на 2016-2020 годы"
Номер опубликования: 8700201512310006
Дата опубликования: 31.12.2015
Страница №76 из 90:
Увеличить