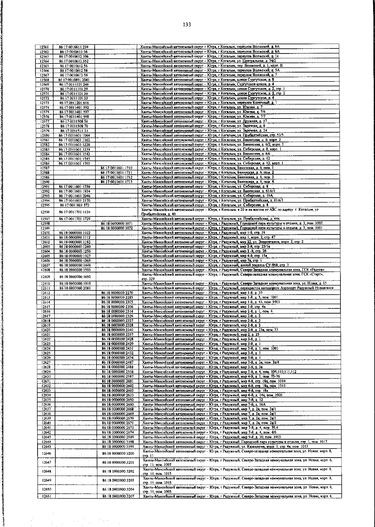
Приказ Департамента финансов Ханты-Мансийского автономного округа - Югры от 24.11.2025 № 32-нп
"Об утверждении перечня объектов недвижимого имущества, в отношении которых налоговая база определяется как кадастровая стоимость, на 2026 год"
(Зарегистрирован 27.11.2025 № 8415)
"Об утверждении перечня объектов недвижимого имущества, в отношении которых налоговая база определяется как кадастровая стоимость, на 2026 год"
(Зарегистрирован 27.11.2025 № 8415)
Номер опубликования: 8601202512010005
Дата опубликования:
01.12.2025
