Официальное опубликование правовых актов
ОФИЦИАЛЬНОЕ ОПУБЛИКОВАНИЕ
Приказ Департамента по управлению государственным имуществом Ханты-Мансийского автономного округа - Югры от 07.09.2021 № 21-нп
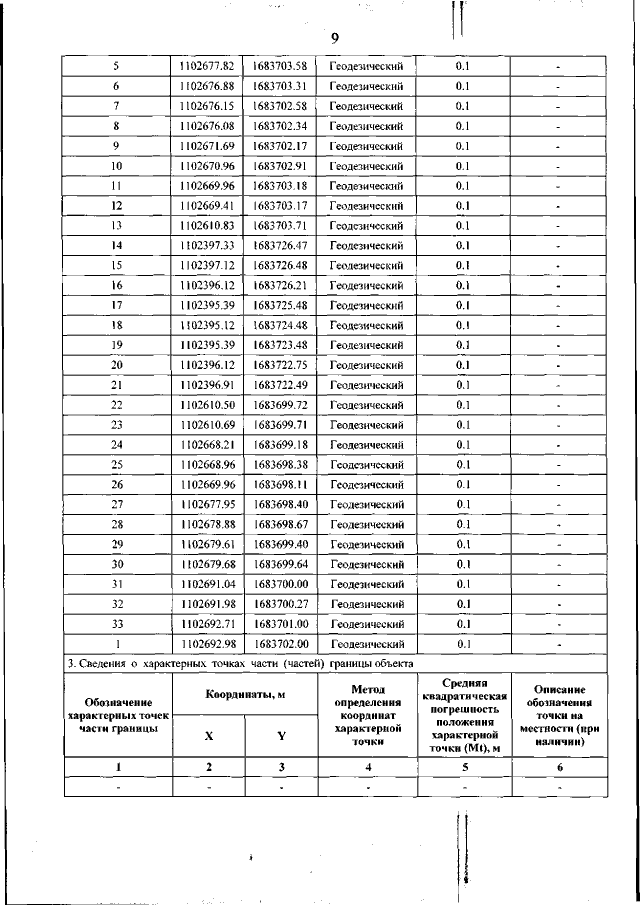
"Об утверждении границ охранных зон газораспределительных сетей объекта, находящегося в собственности публичного акционерного общества "Газпром", и наложении ограничений (обременений) на входящие в них земельные участки"
(Зарегистрирован 10.09.2021 № 5646)
Номер опубликования: 8601202109140001
Дата опубликования: 14.09.2021
Страница №9 из 13:
Увеличить