Официальное опубликование правовых актов
ОФИЦИАЛЬНОЕ ОПУБЛИКОВАНИЕ
Приказ Департамента финансов Ханты-Мансийского автономного округа - Югры от 26.01.2021 № 5-нп
"О внесении изменений в некоторые приказы Департамента финансов Ханты-Мансийского автономного округа – Югры"
(Зарегистрирован 28.01.2021 № 5370)
Номер опубликования: 8601202102010003
Дата опубликования: 01.02.2021
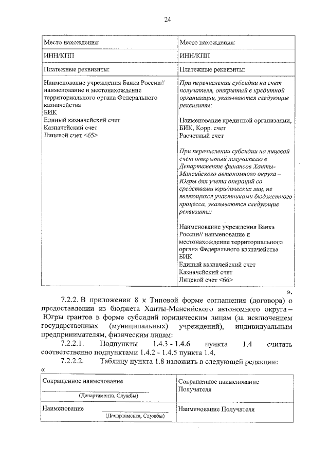
Страница №24 из 26:
Увеличить