Официальное опубликование правовых актов
ОФИЦИАЛЬНОЕ ОПУБЛИКОВАНИЕ
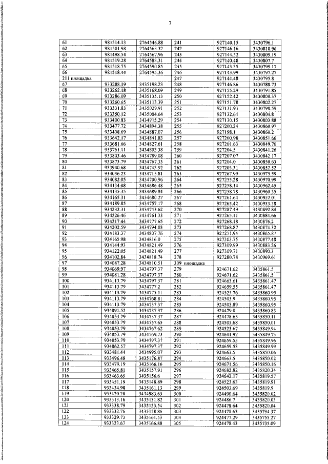
Приказ Департамента строительства Ханты-Мансийского автономного округа – Югры от 25.12.2020 № 30-нп
"Об утверждении документации по планировке территории и внесении изменений в некоторые приказы Департамента строительства Ханты-Мансийского автономного округа — Югры"
(Зарегистрирован 29.12.2020 № 5344)
Номер опубликования: 8601202012300008
Дата опубликования: 30.12.2020
Страница №7 из 136:
Увеличить